16. 확률의 곱셈정리
🧸 01. Intro
: 안녕하세요, 삐약 은지입니다
오늘은 "확률의 곱셈정리"에 대해 배워보겠습니다 🙂
🧸 02. 확률의 곱셈정리
: 저희는 경우의 수를 배울 당시
아직 일이 끝나지 않았을 경우에는 곱의 법칙을 사용한다고 배웠습니다
확률도 마찬가지로
두 사건이 연속적으로 일어나는 상황,
즉 일이 아직 끝나지 않은 상황에서 곱의 법칙을 사용할 수 있는데요 🤔
이때의 곱의 법칙을 "확률의 곱셈정리"라고 합니다
확률의 곱셈정리를 이해하기 위해서는 우선 조건부 확률을 알아야합니다
이전 포스팅에서 저희는 조건부 확률이란 조건이 있는 확률을 의미한다고 배웠습니다
(조건부 확률이 잘 기억나지 않는다면 클릭: https://eunjiblog.tistory.com/81)
그래서 만약 P(A|B)라는 조건부 확률이 있다면,
P(A|B)는 B라는 조건(전제)하에 A라는 사건이 발생할 확률을 구하면 됩니다 (아래 식)

이때 위 식에서 오른쪽 항의 분자만 남겨두고 식을 정리하면
아래와 같은 수식이 나오게 됩니다

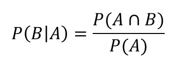
그렇다면 P(B|A)라는 조건부 확률은 어떻게 구할까요?
P(B|A)도 위와 같이 계산해주면 됩니다
즉, A라는 조건(전제)하에 B라는 사건이 발생할 확률을 구하면 됩니다 (아래 수식)

위 식도 오른쪽 항의 분자만 남겨두고 식을 정리하면
아래와 같은 수식이 나오게 됩니다

그런데 오른쪽 항의 분자만 남겨둔 위 두 식을 살펴보니
P(A∩B)가 서로 같다는 것을 알 수 있습니다 😯
따라서 식을 정리해주면 아래와 같습니다

결국 확률의 곱셈정리란
사건 A와 B가 동시에 일어날 확률인 P(A∩B)를
조건부 확률을 이용해 ‘확률의 곱’으로 나타낸 공식을 의미합니다 🙂
🧸 03. 마무리
: 오늘은 "확률의 곱셈정리"에 대해 살펴보았습니다
다음 시간에는 확률의 곱셈정리를 배우면 빠질 수 없는 내용인
"독립 & 종속"에 대해 알아보겠습니다
그럼 모두 안녕 ~👋
'Mathematics > 확률과 통계' 카테고리의 다른 글
| 18. 독립시행의 확률 [⭐] (0) | 2025.11.25 |
|---|---|
| 17. 독립과 종속 [⭐] (0) | 2025.11.21 |
| 15. 조건부 확률 [⭐] (0) | 2025.11.12 |
| 14. 여사건의 확률 (0) | 2025.11.09 |
| 13. 배반 사건 & 확률의 덧셈 정리 [⭐] (0) | 2025.11.09 |