08. 중복 조합: 부정 방정식의 해의 개수
🧸 01. Intro
: 안녕하세요, 삐약 은지입니다😊
오늘은 중복 조합을 배우면 빠질 수 없는 "부정 방정식의 해의 개수"에 대해 알아보겠습니다
🧸 02. 부정 방정식의 해의 개수
: 부정 방정식이란 미지수의 개수보다 식의 개수가 적은 경우를 의미합니다
a + b + c = 10과 같이요 😊
부정 방정식을 만족하는 해의 개수는 무수히 많습니다 (실수)
때문에 저희는 고교 과정에서 음이 아닌 정수를 조건으로 해를 구했었습니다
그러면 만족하는 모든 실수 해를 구하는 것보다는 더 적기 때문입니다
음이 아닌 정수를 해로 갖는 부정 방정식을 푸는 방법은 일일이 대입해서 풀 수도 있지만
간단하게 중복 조합을 이용해서 풀 수도 있습니다
예시를 하나 들어보겠습니다
a + b = 4를 만족하는 음이 아닌 정수를 갖는 해의 개수를 구한다고 가정해보겠습니다
일일이 대입해서 풀 경우 해는 (0, 4), (1, 3), (2, 2), (3, 1), (4, 0)로 총 5가지 입니다
하지만 이를 a와 b를 중복 선택해서 4가 나오는 경우의 수로 해석을 하게 되면
아래와 같이 작성할 수 있습니다

이번에는 다른 예시를 살펴보겠습니다
만약 2x + y + z = 5를 만족하는
음이 아닌 정수를 갖는 해의 개수를 구한다고 가정해보겠습니다
이때는 미지수 x, y, z 의 계수가 모두 1이 아닌 x의 계수에 2가 있으므로
분류해서 풀어야합니다
(Point 1)
: 미지수의 계수가 모두 1일때 균등한 분배가 가능하기에
중복 조합을 바로 적용할 수 있습니다
(Point 2)
: 미지수의 계수가 다를 경우 단순한 분배가 아닌 가중치가 있는 분배 문제가 되기에,
분류해서 풀어야 합니다 (바로 중복 조합 적용 불가능!)
x를 기준으로 푼다면 아래와 같이 분류할 수 있습니다
ⓐ x = 0 → y + z = 5
ⓑ x = 1 → y + z = 3
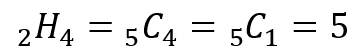
ⓒ x = 2 → y + z = 1
이제 미지수의 계수가 모두 1이 되었으므로,
중복 조합을 이용하여 각각 구해주면 아래와 같습니다 😊
ⓐ 2H5 → 6C5 = 6C1 = 6
ⓑ 2H3 → 4C3 = 4C1 = 4
ⓒ 2H1 → 2C1 = 2
분류 결과로 저희는 6, 4, 2를 얻었습니다
이때 분류는 마지막에 합의 법칙을 통해 하나로 합쳐주면 되므로,
결과적으로 정답은 12가 됩니다 😄
🧸 03. 부정 방정식 2가지 유형
: 부정 방정식에는 "이상 조건" 일때와 "이하 조건"일 때로
총 2가지의 유형이 존재합니다
"이상 조건"의 예시를 먼저 들어보겠습니다
부정 방정식 x + y + z = 6이 있고, x, y, z가 모두 자연수일 때
음이 아닌 정수 해의 개수를 구하는 문제를 풀어야한다고 가정해보겠습니다
이때는 미지수들이 모두 자연수 조건이므로 각 변수는 반드시 1 이상이어야 합니다
즉, x, y, z 각각이 최소한 1개씩은 포함되어야 합니다 🤔

따라서 이를 고려하면,
이미 x, y, z가 각각 1개씩 포함되었으므로
남은 합은 6 - 3 = 3이 됩니다
결국 문제는
"x + y + z = 3의 음이 아닌 정수 해의 개수를 구하는 부정방정식”으로
다시 해석할 수 있습니다 😯
결과적으로 이렇게 재해석한 식, x + y + z = 3 의 해의 개수는
원래의 식 x + y + z = 6에서 가 자연수일 때 음이 아닌 정수 해의 개수가 됩니다 (아래 참고)

다음으로 알아볼 내용은 "이하 조건"입니다
이하 조건이란 각 변수의 값이 특정 수 이하일 때를 조건으로 주어진 경우를 말합니다 🧐
예를 들어보겠습니다
x + y + z = 5의 음이 아닌 정수 해의 개수를 구한다고 가정해보겠습니다
단, 이때 x, y, z는 모두 3 이하일 때 입니다
이하 조건을 푸는 대표적인 방법은 여사건(Complementary Case)을 이용하는 것입니다
각 변수 x, y, z가 가질 수 있는 최댓값은 3이므로,
세 변수가 모두 최댓값을 가질 때의 총합은 3 + 3 + 3 = 9가 됩니다
따라서, x + y + z = 5라는 식은
최대값 9에서 4만큼 부족한 경우,
즉 x′, y′, z′가 만들어내는 여사건 부정 방정식으로 바꾸어 생각할 수 있습니다
따라서 x + y + z = 5의 여사건 부정 방정식은 아래와 같이 나타낼 수 있으며,
저희는 아래 식을 풀면 됩니다

아래 식에서 각 변수가 가질 수 있는 값의 범위를 살펴보면,
우변이 4이므로 x′은 0부터 4까지의 값을 가질 수 있습니다 (y', z'도 동일)
왜냐하면 일 때는 이면 식이 성립하고,
반대로 일 때는 가 되면 되기 때문입니다 🤔
그런데 여기서 는 모두 최대 3까지만 가능하므로,
전체 경우의 수에서 의 세 가지 경우를 제외해야 합니다
이는 곧, 중복 조합으로 구한 전체 음이 아닌 정수 해의 개수에서
각 변수 자리에 4가 위치할 수 있는 경우의 수인 3C1 을 제외하는 것과 같은 의미입니다
따라서 식을 정리하면 아래와 같이 나타낼 수 있습니다

🧸 04. 마무리
: 오늘은 부정 방정식과 부정 방정식의 2가지 유형인
"이상 조건"과 "이하 조건"에 대해 살펴보았습니다 😊
다음 시간에는 "이항 정리"에 대해 살펴보게습니다
그럼 모두 안녕~👋
'Mathematics > 확률과 통계' 카테고리의 다른 글
| 10. 파스칼의 삼각형 (0) | 2025.11.04 |
|---|---|
| 09. 이항 정리 & 이항 계수의 성질 (0) | 2025.11.04 |
| 07. 중복 조합 (0) | 2025.10.31 |
| 06. 같은 것을 포함하는 순열 (0) | 2025.10.30 |
| 05. 중복 순열 (0) | 2025.10.29 |