03. 조합의 뜻, 조합의 Top 5
🧸 01. Intro
: 안녕하세요, 삐약 은지입니다😊
지난 시간에는 ‘순열’에 대해 함께 배워봤는데요,
이번 시간에는 순열을 배우면 빠질 수 없는 중요한 개념인 '조합'에 대해 살펴보려고 합니다.
🧸 02. 조합
: ‘조합(Combination)’이란
순열과 달리 ‘순서를 고려하지 않고, 오로지 뽑는 방법’만을 의미합니다
그런데 문득 이런 생각이 들지 않나요?
“순열과 조합 중 어떤 게 더 쉬울까?”
즉, ‘순서를 고려하는 방법(줄 세우기)’과 ‘순서를 고려하지 않고 단순히 뽑는 방법’ 중
사람의 뇌는 어느 쪽을 더 간단하게 판단할까? 🤔
정답은 순서를 고려하는 방법인 순열입니다
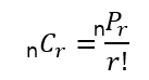
그래서 조합의 식은 순열보다 조금 더 복잡하게 생겼습니다
조합은 순열(줄 세우는 방법) 에서 ‘순서를 고려하는 부분’만 제거한 것으로
순서에 대한 경우의 수를 나누어 제거하는 방식으로 표현합니다
바로 아래 같이요! (참고로 조합은 Combination의 첫 글자인 C를 사용하여 표현합니다)

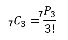
예를 들어, 7명의 사람 중 3명을 뽑는 경우를 생각해보겠습니다
이때는 다음과 같이 표현할 수 있는데요,
ⓐ 먼저 7명 중 3명을 뽑아 줄 세운 후(분자)
ⓑ 그 다음 3명에 대해 줄 세우는 방법을 제거(분모)해주면 됩니다
바로 아래와 같이요 😊

조금 더 응용해 볼까요?
저희는 저번 시간에 순열 P를 팩토리얼(factorial) 로 나타낼 수 있다는 것을 배웠습니다
▶ 기억이 안 난다면 클릭 ( 02. 순열의 뜻, 순열 Top 5 — 개발자 은지 )
이를 활용하면 조합도 다음과 같이 표현할 수 있습니다 🙂

추가로 조합은 아래와 같이 나타낼 수 있는데요,

이를 통해 조합이 대칭성이 존재한다는 것을 알 수 있습니다
예를 들어 아래와 같이요 😊

🧸 03. 조합의 Top5
: 조합에 대표적인 문제로는 아래와 같이 5가지 유형이 존재합니다 🤔
① 포함되도록
② 포함되지 않도록
③ 적어도 1명이 포함되도록
④ 악수
⑤ 조 나누기
우선 "포함하도록"에 해당하는 유형이 나왔을 경우를 살펴보겠습니다
이 경우에는 포함을 먼저 시키고, 나머지에 대해 조합을 적용하면 되는데요 🧐
예를 들어, 갑과 을을 포함하여 총 10명이 존재할 때
갑과 을을 포함한 3명을 뽑으려면
[갑(1)] x [을(1)] x [갑과 을을 제외한 총 8명에 대해서 1명(8C1)을 뽑으면] 됩니다

다음은 "포함되지 않도록"에 해당하는 유형입니다
이 경우에는 "포함되도록"과 반대 유형으로,
해당하는 그룹만 제외를 시키고 나머지에 대한 조합을 구하면 됩니다
예를 들어, 갑과 을을 포함하여 총 10명이 존재할 때
갑과 을이 포함되지 않도록 3명을 뽑을려면
[갑과 을을 제외한 총 8명의 사람들 중에서 3명(8C3)]을 뽑으면 됩니다

3번째로 배워볼 유형은 "적어도 1명이 포함되도록"입니다
이 유형은 여사건을 이용해서 구하면 됩니다 🙂
다음 유형은 "악수"입니다
이 경우에는 2명을 뽑는 경우의 수를 구하면 됩니다
왜냐하면 2명을 뽑는다는 것자체가 2명이서 악수만 알아서 시키면 되기에,
"악수"는 nC2의 형태로 문제를 풉니다
마지막 유형은 "조 나누기"인데,
이 경우는 생각보다 복잡해서 다음에 다시 다뤄보도록 하겠습니다
사실 간단하게 설명을 해서 이해가 충분히 안되실 것 같긴합니다 😊
때문에 만약 이해가 잘 안되셨다면 아래 무료 강의를 들어보시길 강추합니다
https://www.ebsi.co.kr/ebs/lms/lmsx/retrieveSbjtDtl.ebs?courseId=S20240000021#lecture
[2025 수능특강] 정승제의 확률과 통계
[2025 수능특강] 정승제의 확률과 통계
www.ebsi.co.kr
🧸 04. 마무리
: 오늘 간단하게 "조합"에 대해 살펴보았는데요,
다음 시간에는 "원순열"에 대해 살펴보도록 하겠습니다 😊
오늘도 긴 글 읽어주셔서 감사합니다
그럼 모두 안녕 ~👋
'Mathematics > 확률과 통계' 카테고리의 다른 글
| 06. 같은 것을 포함하는 순열 (0) | 2025.10.30 |
|---|---|
| 05. 중복 순열 (0) | 2025.10.29 |
| 04. 원순열 (0) | 2025.10.29 |
| 02. 순열의 뜻, 순열 Top 5 (0) | 2025.10.28 |
| 01. 합의 법칙 & 곱의 법칙 (0) | 2025.10.27 |